双重认证: Avantium PEF多层瓶获得RecyClass和APR的完全可回收性认可
【生物基能源与材料】获悉,近日,荷兰可再生聚合物材料领军企业Avantium宣布,他的PET/PEF多层瓶与PET回收体系完全兼容。欧洲塑料循环倡议组织RecyClass对该产品进行评估后予以认证。

Avantium旗下品牌releaf®的PEF材料可用于植物基单层瓶生产。当与PET结合用于多层瓶时,该材料展现出显著优势:作为阻隔层,PEF能提供超越单层PET的保质期延长效果。
当前多数PET多层瓶采用尼龙作为阻隔层,但尼龙与PET的兼容性问题会阻碍回收过程。PEF凭借卓越的阻隔性能以及与PET的相似性,成为理想的替代方案。
RecyClass PET技术委员会测试了含10% releaf® RP90N PEF的Avantium多层瓶。PTI-Europe与Plastics Forming Enterprises实验室测试证实,该产品完全兼容PET回收流程。
此项认证意味着PEF层不会影响回收过程。RecyClass正与美国塑料回收协会(APR)合作统一测试标准。Avantium的PEF材料已于2023年获得APR关键指导认证。
获得双重认证后,品牌方可放心采用PEF作为PET瓶中的可回收阻隔层。此项验证也有助于各国生产者责任组织(PROs)的认可——这些机构负责监督生产者责任延伸(EPR)政策及费用的合规执行。
这种多层瓶让品牌方和包装加工企业能够采用PEF作为功能性可回收阻隔层,为环保包装方案开辟了全新可能性。
该认证推动了塑料循环经济的转型进程,确保多层PET瓶实现高效回收,减少塑料废弃物。
作为兼具可生物降解与可回收特性的聚酯材料,Avantium的PEF为传统阻隔材料提供了理想替代方案。其与现有回收体系的兼容性,使之成为可持续包装领域极具价值的创新方案。
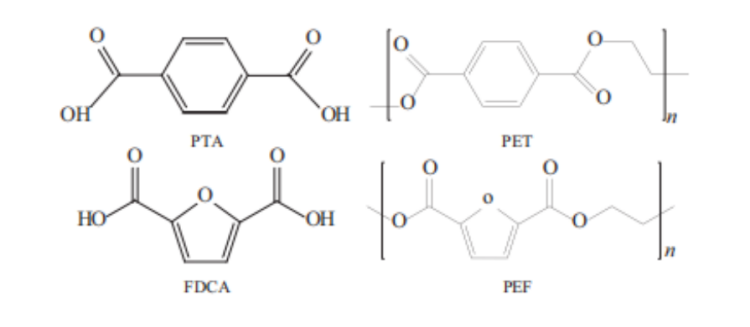
PEF为何是PET的理想替代者?
研究证明,使用PEF材料制作的饮料瓶在许多方面好于PET瓶,这与其结构有关。
其分子结构中的呋喃环赋予卓越性能:

阻隔性远超PET:氧气阻隔能力达PET的10倍,二氧化碳阻隔性提升4-10倍,水汽阻隔性提高2倍,可显著延长食品饮料保质期。
在分子结构上,呋喃环的非对称性和极性使链刚性增大,使链段不易翻转,运动能力下降,阻碍小分子扩散;
在聚集态结构上,结晶或其它促使分子链堆砌致密,自由体积减小(物理老化)阻碍小分子的溶解与扩散,进一步改善阻隔性。
这可使包装产品的保存期限延长,因此该材料在高阻隔性包装材料、高性能纤维和工程塑料等领域具有广阔的应用前景。
另外由于其机械强度增强,可使PEF材料的包装更薄而轻,所以必然促使包装材料的用量减少。
在热性质方面,PEF被认为比PET更好,PEF有更好的耐热性(PEF的Tg为86℃,PET的Tg为74℃)、更低的加工温度(PEF的Tm为235℃,PET的Tm为265℃)。
因此,PEF特别适合生产特定的食品与饮料包装,例如薄膜和塑料瓶。
PEF的核心优势:环境效益
原料来自秸秆等农业废弃物,碳足迹比石油基塑料降低50%-70%;高机械强度使包装减薄20%以上,减少资源消耗。废弃后可通过现有PET系统回收,并在自然条件下降解。
2023年,全球首条PEF生产线由中国企业中科国生投产,荷兰企业Avantium则联合超市推出首款PEF果汁瓶,标志着其商业化进程加速。
未来,PEF有望重塑包装、纺织等行业的可持续格局。
▌参考信息:本文部分素材来自公开信息,由作者重新编写,系作者个人观点,本平台发布仅为了传达一种不同观点,不代表对该观点赞同或支持。如果有任何问题,请联系我们:18094560191(微信同号)
